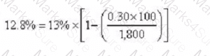
A company in country T is considering either exporting its product directly to customers in country P or establishing a manufacturing subsidiary in country P.
The corporate tax rate in country T is 20% and 25% tax depreciation allowances are available
Which TIIRCC of the following would be considered advantages of establishing a subsidiary in country T?
An all equity financed company reported earnings for the year ending 31 December 20X1 of $5 million.
One of its financial objectives is to increase earnings by 5% each year.
In the year ending 31 December 20X2 it financed a project by issuing a bond with a $1 million nominal value and a coupon rate of 7%.
The company pays corporate income tax at 30%.
If the company is to achieve its earnings target for the year ending 31 December 20X2, what is the minimum operating profit (profit before interest and tax) that it must achieve?
Company A has a cash surplus.
The discount rate used for a typical project is the company's weighted average cost of capital of 10%.
No investment projects will be available for at least 2 years.
Which of the following is currently most likely to increase shareholder wealth in respect of the surplus cash?
A listed publishing company owns a subsidiary company whose business activity is training.
It wishes to dispose of the subsidiary company.
The following information is available:

The board of the publishing company believe that the value of the subsidiary company, and hence the value of the equity invested in it, can be determined by calculating the present value of the subsidiary's free cashflows.
Which of the following is the most appropriate discount rate to use when determining the enterprise value of the company?
A company intends to sell one of its business units, Company R by a management buyout (MBO).
A selling price of $100 million has been agreed.
The managers are discussing with a bank and a venture capital company (VCC) the following financing proposal:

The VCC requires a minimum return on its equity investment in the MBO of 30% a year on a compound basis over 5 years.
What is the minimum TOTAL equity value of Company R in 5 years time in order to meet the VCC's required return?
Give your answer to one decimal place.
$ ? million
Company W is a manufacturing company with three divisions, all of which are making profits:
• Division A which manufactures cars
• Division B which manufactures trucks
• Division C which manufactures agricultural machinery
Company W is facing severe competitive pressure in all of its markets, and is currently operating with a high level of gearing Company W's latest forecasts suggest that it needs to raise cash to avoid breaching loan covenants on its existing debt finance in 6 months' time
In a recent strategy review. Divisions A and B were identified as being the core divisions of Company W
The management of Division C is known to be interested in the possibility of a management buy-out. Company Z is known to be interested in making a takeover bid for Company W's truck manufacturing division
A rival to Company W has recently successfully demerged its business, this was well received by the Financial markets
Which of the following exit strategies will be most suitable for company W?
A company plans to cut its dividend but is concerned that the share price will fall. This demonstrates the _____________ effect
Company A is planning to acquire Company B. Both companies are listed and are of similar size based on market capitalisation No approach has yet been made to Company B's shareholders as the directors of Company A are undecided about the most suitable method of financing the offer Two methods are under consideration a share exchange or a cash offer financed by debt.
Company A currently has a gearing ratio (debt to debt plus equity) of 30% based on market values. The average gearing ratio (debt to debt plus equity) for the industry is 50% Although no formal offer has been made there have been market rumours of the proposed bid. which is seen as favorable to Company A. As a consequence. Company As share price has risen over the past few weeks while Company B's share price has fallen.
Which THREE of the following statements are most likely to be correct?
A company plans to cut its dividend but is concerned that the share price will fall. This demonstrates the _____________ effect
A listed company has suffered a period of falling revenues and profit margins. It has been obliged to issue a profit warning to the market and its share price has fallen sharply. The company relies heavily on debt finance and is discussing with its banks possible refinancing options to assist with a restructuring programme.
Which THREE of the following are likely to be of MOST interest to the company's banks when they review the refinancing requests?
Company M's current profit before interest and taxation is $5.0 million.
It has a long-term 10% corporate bond in issue with a nominal value of $10 million.
The rate of corporate tax is 25%.
It plans to continue to pay out 50% of its earnings in dividends and earnings are expected to grow by 3% each year in perpetuity.
Its cost of equity is 10%.
Using the dividend growth model, advise the Board of Directors of Company M which of the following provide a reasonable valuation of Company M's equity?
A venture capitalist invests in a company by means of buying:
• 9 million shares for $2 a share and
• 8% bonds with a nominal value of $2 million, repayable at par in 3 years' time.
The venture capitalist expects a return on the equity portion of the investment of at least 20% a year on a compound basis over the first 3 years of the investment.
The company has 10 million shares in issue.
What is the minimum total equity value for the company in 3 years' time required to satisify the venture capitalist's expected return?
Give your answer to the nearest $ million.
$ million.
A company is planning to issue a 5 year $100 million bond at a fixed rate of 6%.
It is also considering whether or not to enter into a 10 year $100 million swap to receive 5% fixed and pay Libor + 1% once a year.
The company predicts that Libor will be 4% over the life of the 5 years.
What is the impact of the swap on the company's annual interest cost assuming that the Libor prediction is correct?
The directors of a financial services company need to calculate a valuation of their company’s equity in preparation for an upcoming initial Public Offering (IPO) of shares. At a recent board meeting they discussed the various methods of business valuation.
The Chief Executive suggested using a Price-earing (P./E) method of valuation, but the finance Director argued that a valuation based on forecast cash flows to equity would be more appropriate.
Which THREE of the following are advantages of valuation based on forecast cash flows to equity, compared to a valuating using a price earnings methods?
A company is planning to repurchase some of its shares. Relevant details are as follows:
• 100 million shares in issue
• Current share price $5
• 5 million shares to be repurchased
• 10% repurchase premium
• Repurchased shares to be cancelled
What would you expect the share price after the repurchase to be?
Give your answer to two decimal places.
$ ?
An unlisted company:
Which of the following methods would be the most appropriate to value this company’s equity?
A venture capitalist has made an equity investment in a private company and is evaluating possible methods by which it can exit the investment over the next 3 years. The private company shareholders comprise the four original founders and the venture capitalist.
Advise the venture capitalist which THREE of the following methods will enable it to exit its equity investment?
A company wishes to raise new finance using a rights issue to invest in a new project offering an IRR of 10%
The following data applies:
• There are currently 1 million shares in issue at a current market value of $4 each.
• The terms of the rights issue will be $3.50 for 1 new share for 5 existing shares.
• The company's WACC is currently 8%.
What is the yield-adjusted theoretical ex-rights price (TERP)?
Give your answer to 2 decimal places.
$ ?
The directors of a unlisted manufacturing company have prepared a valuation of their company using the price-earning method.
Their calculation is:
Value if the company‘s equity = $6 million x 10 =$60 million where.
Which THREE of the following are weakness of this valuation?
Company A has a cash surplus.
The discount rate used for a typical project is the company's weighted average cost of capital of 10%.
No investment projects will be available for at least 2 years.
Which of the following is currently most likely to increase shareholder wealth in respect of the surplus cash?
A company generates and distributes electricity and gas to households and businesses.
Forecast results for the next financial year are as follows:

The Industry Regulator has announced a new price cap of $1.50 per Kilowatt.
The company expects this to cause consumption to rise by 10% but costs would remained unaltered.
The price cap is expected to cause the company's net profit to fall to:
A company is currently all-equity financed.
The directors are planning to raise long term debt to finance a new project.
The debt:equity ratio after the bond issue would be 30:60 based on estimated market values.
According to Modigliani and Miller's Theory of Capital Structure without tax, the company's cost of equity would:
A UK company enters into a 5 year borrowing with bank P at a floating rate of GBP Libor plus 3%
It simultaneously enters into an interest rate swap with bank Q at 4.5% fixed against GBP Libor plus 1.5%
What is the hedged borrowing rate, taking the borrowing and swap into account?
Give your answer to 1 decimal place.
H Company has a fixed rate load at 10.0%, but wishes to swap to variable. It can borrow at LIBOR 8%.
The bank is currently quoting swap rates of 3.1% (bid) and 3.5% (ask).
What net rate will H Company pay if it enters into the swap?
Company M is a listed company in a highly technical service industry.
The directors are considering making a cash offer for the shares in Company Q, an unquoted company in the same industry.
Relevant data about Company Q:
• The company has seen consistent growth in earnings each year since it was founded 10 years ago.
• It has relatively few non-current assets.
• Many of the employees are leading experts in their field. A recent exercise suggested that the value of the company's human capital exceeded the value of its tangible assets.
The directors and major shareholders of Company Q have indicated willingness to sell the company.
Before negotiations become too advanced, the directors of Company M are considering the benefits to their company that would follow the acquisition.
Which THREE of the following are the most likely benefits of the acquisition to Company M's shareholders?
A new company was set up two years ago using the personal financial resources of the founders.
These funds were used to acquire suitable premises.
The company has entered into a long-term lease on the premises which are not yet fully fitted out.
The founders are considering requesting loan finance from the company's bank to fund the purchase of custom-made advanced technology equipment.
No other companies are using this type of equipment.
The company expects to continue to be profitable for the forseeable future.
It re-invests some of its surplus cash in on-going essential research and development.
Which THREE of the following features are likely to be considered negatives by the bank when assessing the company's credit-worthiness?
A company is wholly equity funded. It has the following relevant data:
• Dividend just paid $4 million
• Dividend growth rate is constant at 5%
• The risk free rate is 4%
• The market premium is 7%
• The company's equity beta factor is 1.2
Calculate the value of the company using the Dividend Growth Model.
Give your answer in $ million to 2 decimal places.
$ ? million
AA is considering changing its capital structure. The following information is currently relevant to AA:

The gearing rating raising the new debt finance will be 50%.
Which THREE of the following statement about the impact of AA’s change in capital structure are true under Modigliani and Miler’s capital structure theory with tax.
Which THREE of the following long term changes are most likely to increase the credit rating of a company?
B has a S3 million loan outstanding on which the interested rate is reset every 6 months for the following 6 month and the interested is payable at the end of that 6 month period. The next 6 monthly reset period starts in 3 months and the treasurer of B thinks interested rates are likely to raise between and then.
Current 6-month rates are 6.4% and the treasurer can get a rate of 6.9% for a 6-month forward rate agreement (FRA) starting in 3 months time. By transacting an TRA the treasurer can lock in a rate today of 6.9%.
If interested rates are 7.5% in 3 months’ time, what will the net amount payable be?
Give your answer to the nearest thousand dollars.

A company is valuing its equity prior to an initial public offering (IPO).
Relevant data:
• Earnings per share $1.00
• WACC is 8% and the cost of equity is 12%
• Dividend payout ratio 40%
• Dividend growth rate 2% in perpetuity
The current share price using the Dividend Valuation Model is closest to:
Assume today is 31 December 20X1.
A listed mobile phone company has just launched a new phone which is proving to be a great success.
As a direct result of the product's success, earnings are forecast to increase by:
• 5% a year in each of years 20X2 – 20X6
• 3% from 20X7 onwards
Market analysts were very excited to hear the news of the success of the product and future growth forecasts.
Assuming a semi-efficient market applies, which of the following company valuation methods is likely to give the best estimate of the company's equity value today?
Company P is a pharmaceutical company listed on an alternative investment market.
The company is developing a new drug which it hopes to market in approximately six years' time.
Company P is owned and managed by a group of doctors who wish to retain control of the company. The company operates from leased laboratories with minimal fixed assets.
Its value comes from the quality of its research staff and their research.
The company currently has one approved drug which generates sufficient cashflow to cover day to day operations but not sufficient for major new research and development.
Company P wish to raise debt finance to develop the new drug.
Recommend which of the following types of debt finance would be most appropriate for Company P to help finance the development of this new drug.
A venture capitalist invests in a company by means of buying:
• 9 million shares for $2 a share and
• 8% bonds with a nominal value of $2 million, repayable at par in 3 years' time.
The venture capitalist expects a return on the equity portion of the investment of at least 20% a year on a compound basis over the first 3 years of the investment.
The company has 10 million shares in issue.
What is the minimum total equity value for the company in 3 years' time required to satisify the venture capitalist's expected return?
Give your answer to the nearest $ million.
$ million.
A company plans to raise $12 million to finance an expansion project using a rights issue.
Relevant data:
• Shares will be offered at a 20% discount to the present market price of $15.00 per share.
• There are currently 2 million shares in issue.
• The project is forecast to yield a positive NPV of $6 million.
What is the yield-adjusted Theoretical Ex-Rights Price following the announcement of the rights issue?
Z wishes to borrow at a floating rate and has been told that it can use swaps to reduce the effective interest rate it pays. Z can borrow floating at Libor ' 1, and fixed at 10%.
Which of the following companies would be the most appropriate for Z to enter into a swap with?
PYP is a listed courier company. It is looking to raise new finance to fit each of its delivery vans with new equipment to allow improved parcel tracking for customers The senior management team of PYP have decided on a 10-year secured bond to finance this investment-
Which TWO of the following variables are most likely to decrease the yield to maturity of the bond?
A listed company is planning to raise $21.6 million to finance a new project with a positive net present value of $5 million. The finance is to be raised via a rights issue at a 10% discount to the current share price. There are currently 100 million shares in issue, trading at $2.00 each.
Taking the new project into account, what would the theoretical ex-rights price be?
Give your answer to two decimal places.
$ ?
A company is undertaking a lease-or-buy evaluation, using the post-tax cost of bank borrowing as the discount rate.
Details of the two alternatives are as follows:
Buy option:
• To be financed by a bank loan
• Tax depreciation allowances are available on a reducing-balance basis
• Assets depreciated on a straight-line basis
Lease option:
• Finance lease
• Maintenance to be paid by the lessee
• Tax relief available on interest payments and book depreciation
Which THREE of the following are relevant cashflows in the lease-or-buy appraisal?
A listed company with a growing share price plans to finance a four-year research project with debt.
The main criterion for the finance is to minimise the annual cashflow payments on the debt.
The research will be sold at the end of the project.
Which of the following would be the most suitable financing method for the company?
Companies A, B, C and D:
• are based in a country that uses the K$ as its currency.
• have an objective to grow operating profit year on year.
• have the same total levels of revenue and cost.
• trade with companies or individuals in the eurozone. All import and export trade with companies or individuals in the eurozone is priced in EUR.
Typical import/export trade for each company in a year are as follows:

Which company's growth objective is most sensitive to a movement in the EUR/K$ exchange rate?
M is an accountant who wishes to take out a forward rate agreement as a hedging instrument but the company treasurer has advised that a short-term interest rate future would be a better option.
Which of the following is true of a short-term interest rate future?
A listed company has recently announced a profit warning.
The company's share price fell 20% on the day of the announcement but had been fairly static in the weeks leading up to the announcement.
Which form of efficient market is most likely to be indicated by this share price movement?
The following information relates to Company A's current capital structure:

Company A is considering a change in the capital structure that will increase gearing to 30:70 (Debt:Equity).
The risk -free rate is 3% and the return on the market portfolio is expected to be 10%.
The rate of corporate tax is 25%
Using the Capital Asset Pricing Model, calculate the cost of equity resulting from the proposed change to the capital structure.
A company is concerned about the interest rate that it will be required to pay on a planned bond issue.
It is considering issuing bonds with warrants attached.
Advise the directors which of the following statements about warrants is NOT correct?
A listed company in a high growth industry, where innovation is a key driver of success has always operated a residual dividend policy, resulting in volatility in dividends due to periodic significant investments in research and development.
The company has recently come under pressure from some investors to change its dividend policy so that shareholders receive a consistent growing dividend. In addition, they suggested that the company should use more debt finance.
If the suggested change is made to the financial policies, which THREE of the following statements are true?
A listed company is planning a share repurchase.
The following data applies:
• There are 10 million shares in issue
• The share repurchase will involve buying back 20% of the shares at a price of $0.75
• The company is holding $2 million cash
• Earnings for the current year ended are $2 million
The Directors are concerned about the impact that this repurchase programme will have on the company's cash balance and current year earnings per share (EPS) ratio.
Advise the directors which of the following statements is correct?